Sentinel⁃2A MSI 和Landsat 8 OLI两种传感器多光谱信息的交互对比 |
| 徐光志,徐涵秋 |
|
Cross-comparison of Sentinel-2A MSI and Landsat 8 OLI Multispectral Information |
| Guangzhi Xu,Hanqiu Xu |
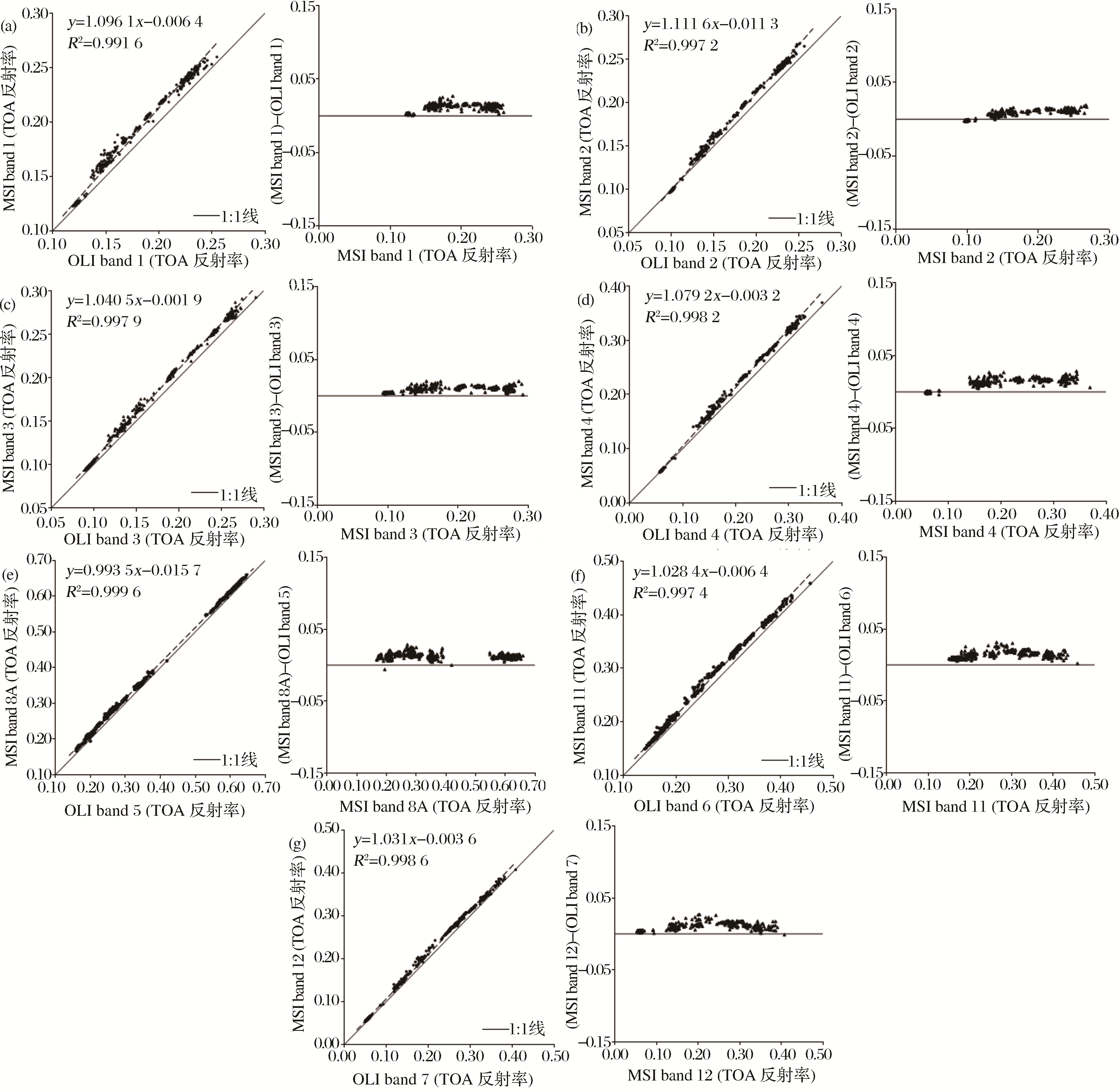
| 图3 2个试验区的Landsat 8 OLI和Sentinel-2A MSI的表观反射率散点对比图 |
| Fig.3 Scatter plots of TOA reflectance of Landsat 8 OLI and Sentinel-2A MSI in Karamay and Dunhuang test areas |
|