遥感干旱指数在洛川苹果干旱监测中的适用性分析 |
| 张茂,张霞,胡光成,王楠 |
|
Applicability Analysis of Remote Sensing based Drought Indices in Drought Monitoring of Apple in Luochuan |
| Mao Zhang,Xia Zhang,Guangcheng Hu,Nan Wang |
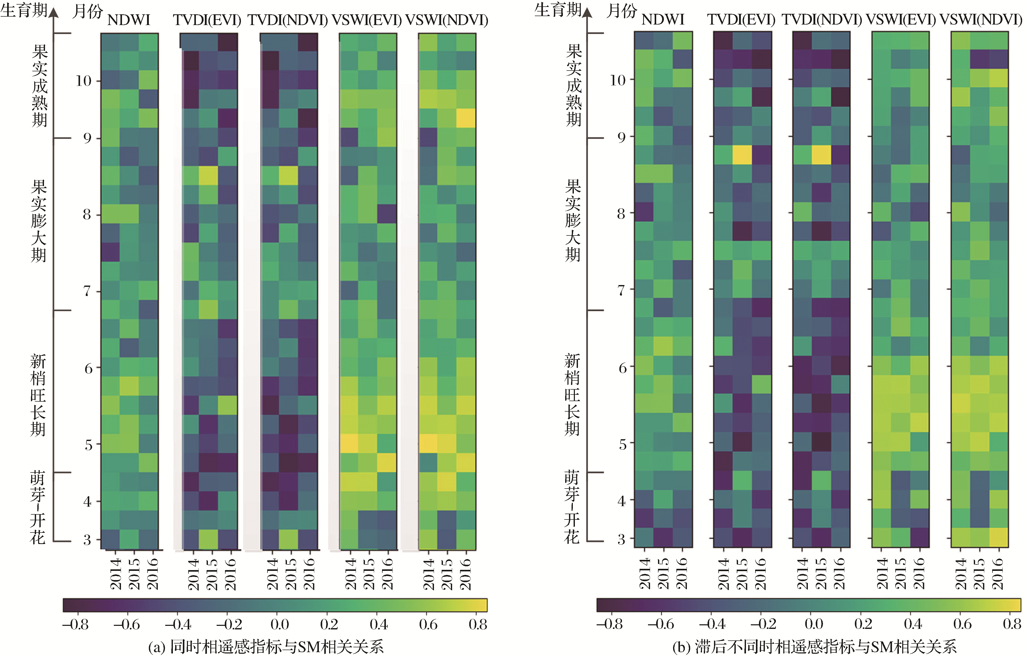
| 图8 2014~2016年不同生育期遥感干旱指标与SM相关关系矩阵图 |
| Fig.8 Matrix diagram of the correlation coefficient between remote sensing based drought indices and SM in different growth periods of apple from 2014 to 2016 |
|