基于背包激光雷达的单木材积估测方法研究
马超,黄华国,田昕,刘炳杰,温坤剑,王鹏杰

Research on Individual Tree Volume Estimation Using Backpack LiDAR
Chao Ma,Huaguo Huang,Xin Tian,Bingjie Liu,Kunjian Wen,Pengjie Wang
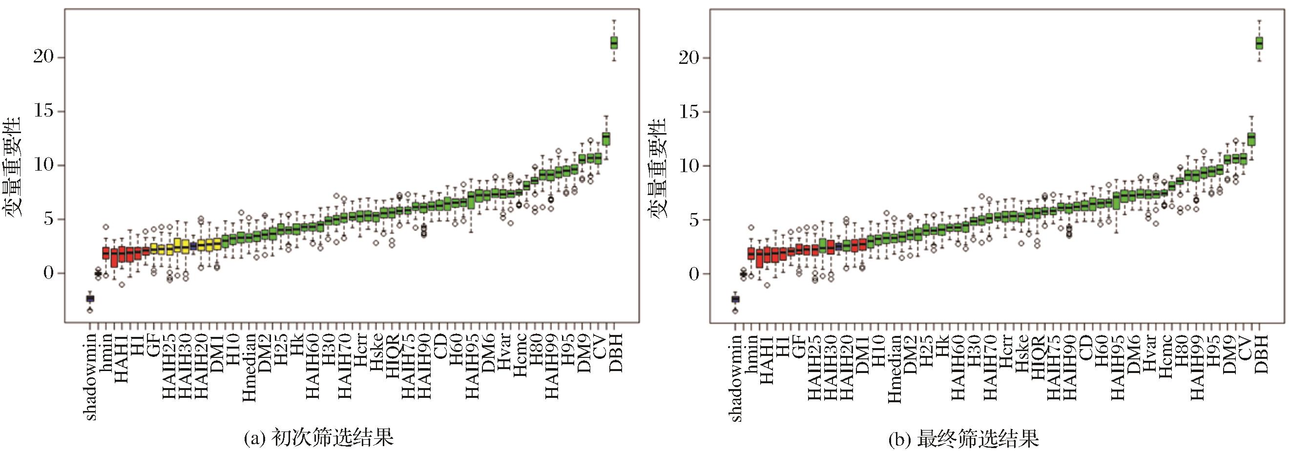
图7 变量重要性盒状图
Fig.7 Box plot of variable importance