Sentinel⁃1A TS⁃DInSAR津冀核心经济区广域地表沉降监测与分析 |
| 于冰,何智勇,谭青雪,张过,李广宇,佘杰,吴滔,王杨 |
|
Land Subsidence Monitoring and Analysis of Tianjin-Hebei Economic Region based on Sentinel-1A TS-DInSAR |
| Bing YU,Zhiyong HE,Qingxue TAN,Guo ZHANG,Guangyu LI,Jie SHE,Tao WU,Yang WANG |
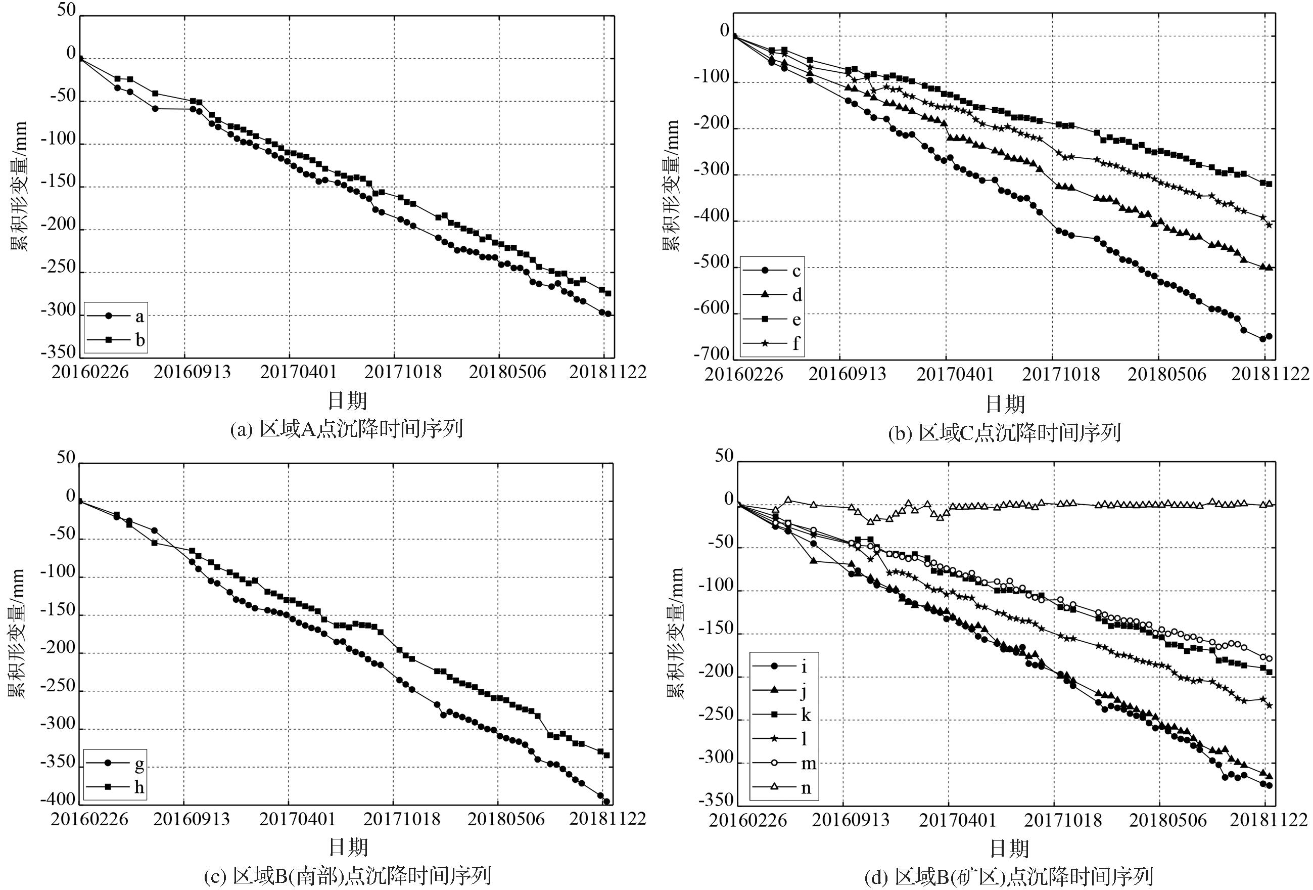
| 图6 沉降点时间序列 |
| Fig.6 Subsidence time series of selected points |
|