基于主题模型的城市地块活动语义动态提取
肖锐,郭宇翔,李星华

Dynamic Semantic Extraction of Urban Blocks Activity based on Topic Model
Rui XIAO,Yuxiang GUO,Xinghua LI
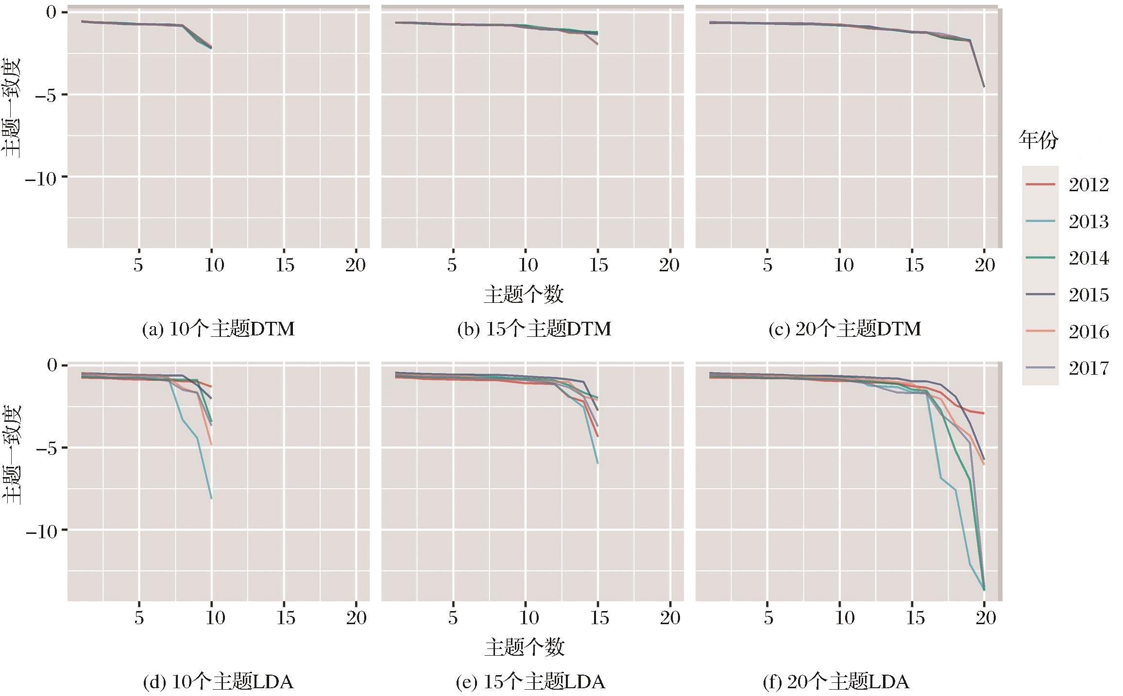
图5 各模型主题一致度
Fig.5 Coherence of different topic models