蒙古高原植被返青期对气候、积雪、土壤水变化的响应特征研究 |
| 张雨惠,萨楚拉,孟凡浩,罗敏,王牧兰,孙慧 |
|
Response Characteristics of Vegetation Reforestation Period to Climate, Snow Cover and Soil Water in Mongolian Plateau |
| Yuhui ZHANG,Chula SA,Fanhao MENG,Min LUO,Mulan WANG,Hui SUN |
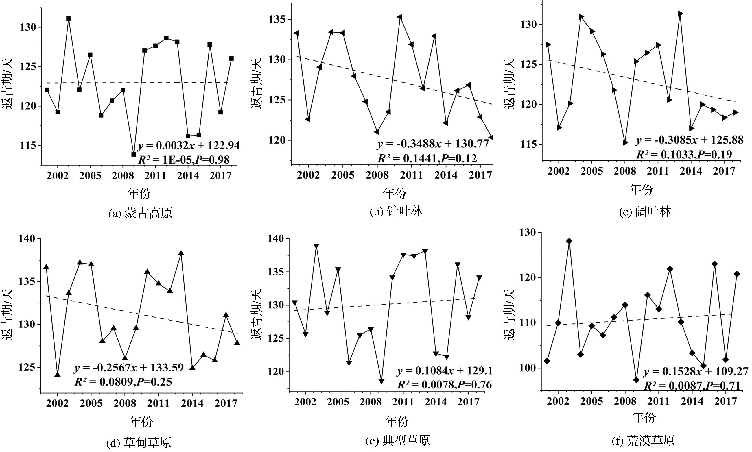
| 图4 蒙古高原2001~2018年不同区域内植被返青期年际变化 |
| Fig.4 Inter-annual variation of vegetation reforestation period in different regions of the Mongolian Plateau from 2001 to 2018 |
|