蒙古高原植被返青期对气候、积雪、土壤水变化的响应特征研究 |
| 张雨惠,萨楚拉,孟凡浩,罗敏,王牧兰,孙慧 |
|
Response Characteristics of Vegetation Reforestation Period to Climate, Snow Cover and Soil Water in Mongolian Plateau |
| Yuhui ZHANG,Chula SA,Fanhao MENG,Min LUO,Mulan WANG,Hui SUN |
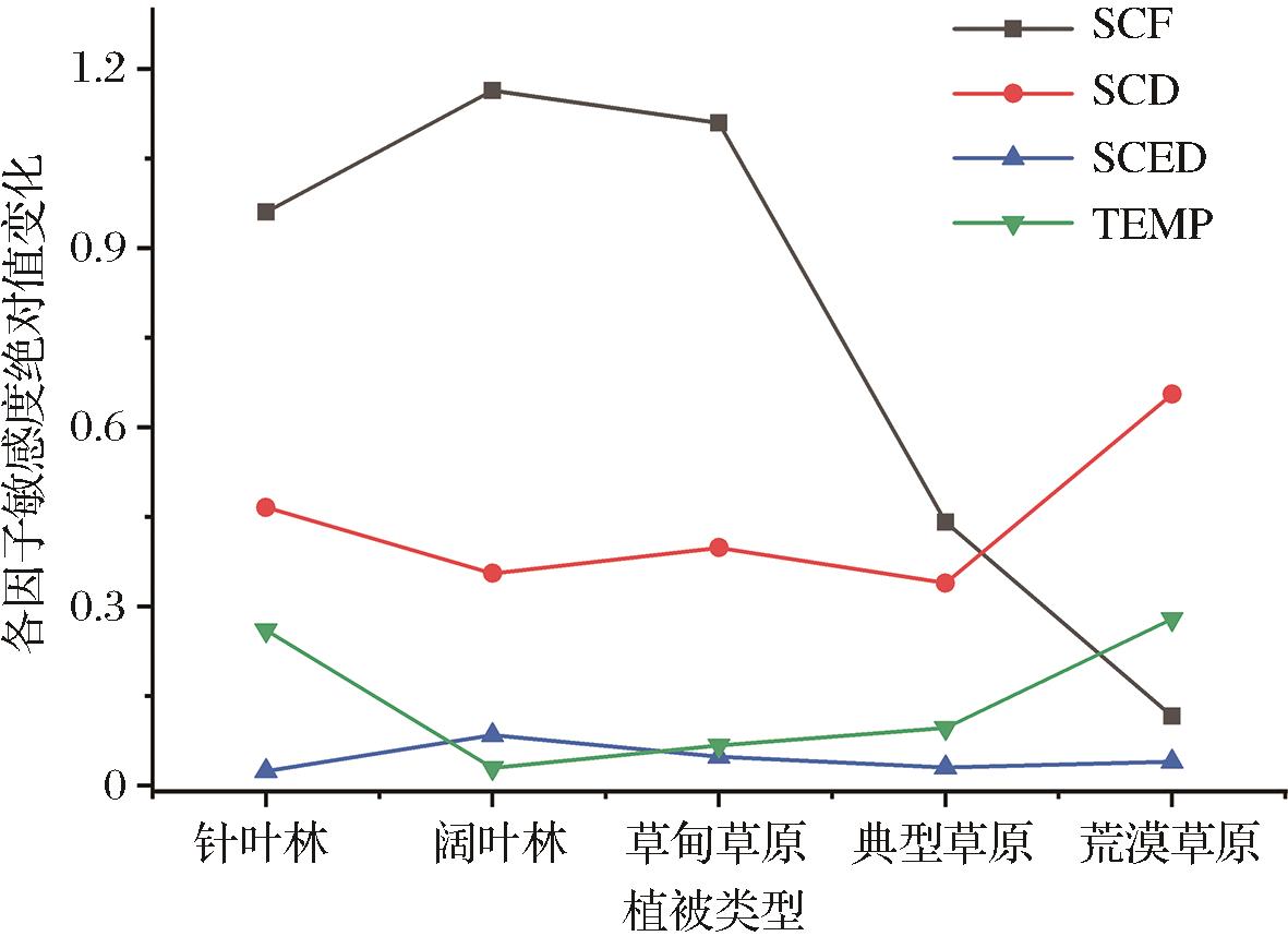
| 图8 蒙古高原不同植被类型敏感度变化 |
| Fig.8 Sensitivity changes of different vegetation types on the Mongolian Plateau |
|