模态框(Modal)标题

在这里添加一些文本

模态框(Modal)标题

ISSN 1004-0323
CN 62-1099/TP
RSS  |  Email Alert
  • Home
  • About Journal
  • Editorial Board
  • Instruction
  • Journal Online
    • Current Issue
    • Online First
    • Archive
    • Most Read
    • Most Download
    • Most Cited
  • Subscription
  • Advertisement
  • Publication Ethics
  • Contact Us
  • 中文

Figure/Table detail

Multidimensional Poverty Identification and Evolution in Shanxi Province based on Nighttime Light Data
Yi ZHOU, Yuqiong ZHANG
Remote Sensing Technology and Application, 2025, 40(5): 1355-1366.   DOI: 10.11873/j.issn.1004-0323.2025.5.1355

Fig.5 Multidimensional poverty LISA cluster map 2011~2020
Other figure/table from this article
  • Fig.1 Location of the study area
  • Table 1 Key counties for poverty alleviation during the 13th Five Year Plan period in Shanxi Province
  • Table 2 Weights for each of the MPI indicators
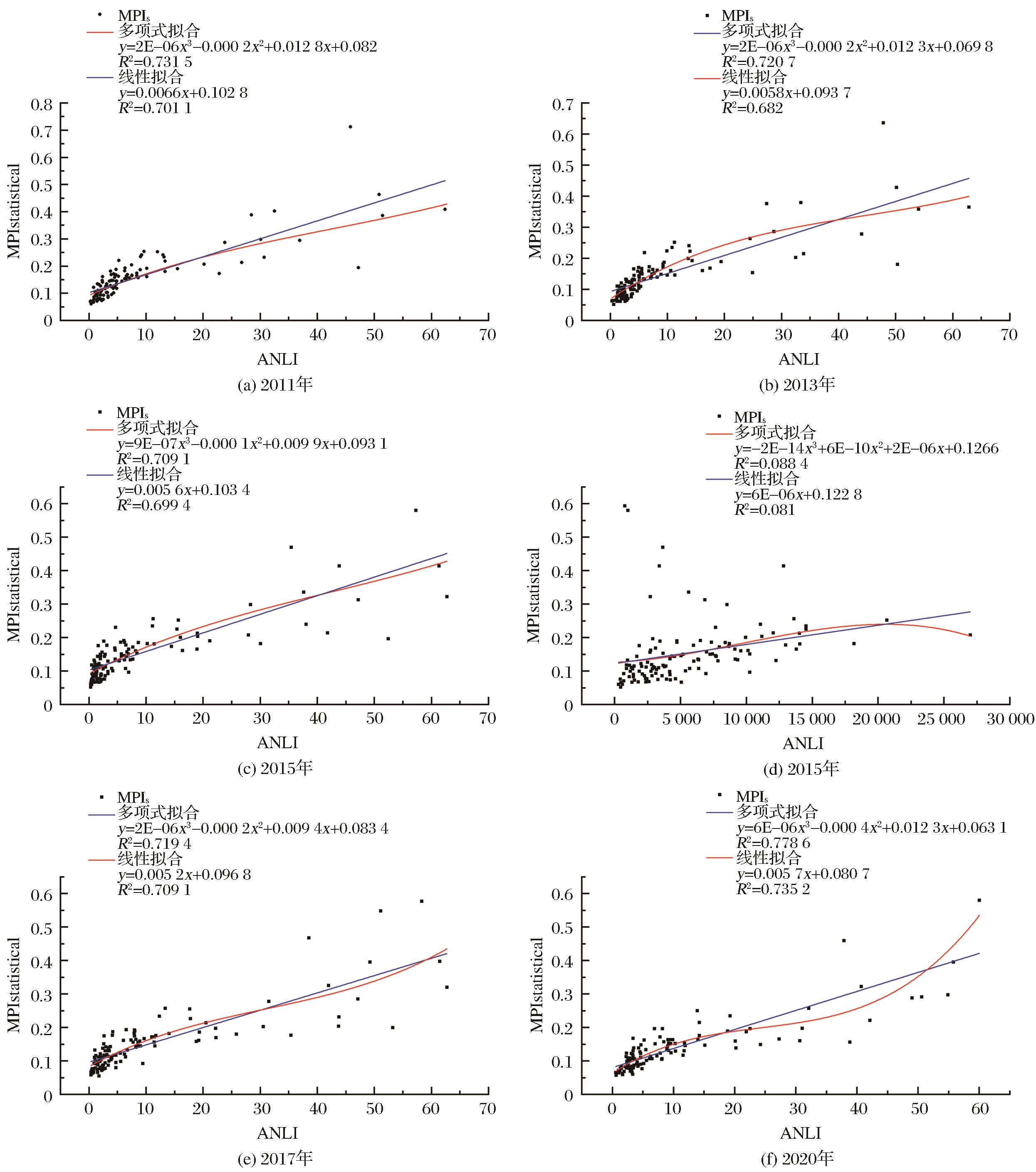
  • Fig.2 Regression results of MPIs and ANLI from 2011 to 2020
  • Table 3 The number of poverty-stricken counties in Shanxi Province in each multidimensional poverty grading scale
  • Fig.3 MPIe raster spatialization in Shanxi Province from 2011 to 2020
  • Table 4 MPIe poverty classification statistics in Shanxi Province from 2011 to 2020
  • Fig.4 Scatterplot of Moran′s I of multidimensional poverty 2011~2020
  • Fig.6 Multidimensional poverty hotspot analysis map 2011~2020
Tel: (0931)8272180 
E-mail:rsta@lzb.ac.cn
Total visitors:  Visitors of today:   Now online:
Powered by Beijing Magtech Co. Ltd,.