蒙古高原植被返青期对气候、积雪、土壤水变化的响应特征研究
1.
2.
Response Characteristics of Vegetation Reforestation Period to Climate, Snow Cover and Soil Water in Mongolian Plateau
1.
2.
通讯作者:
收稿日期: 2022-08-31 修回日期: 2023-09-02
| 基金资助: |
|
Received: 2022-08-31 Revised: 2023-09-02
作者简介 About authors
张雨惠(1999-),女,内蒙古太仆寺旗人,硕士研究生,主要从事资源与环境遥感研究E⁃mail:
关键词:
Keywords:
本文引用格式
张雨惠, 萨楚拉, 孟凡浩, 罗敏, 王牧兰, 孙慧.
ZHANG Yuhui, SA Chula, MENG Fanhao, LUO Min, WANG Mulan, SUN Hui.
1 引 言
国内外学者从不同角度对植被变化及其影响因素进行了大量研究,温度常常被认为是影响植被物候的主要控制因素[11-12]。而Shen等[13]的研究表明,水分条件(如降水和土壤水含量)对干旱地区植被的返青更为重要,能够提前返青期的开始时间。此外,植被返青期与积雪覆盖密切相关[14-15]。积雪对地面植被具有保温保湿的作用,可以减少地面风力[16-18],有利于翌年植被返青。反之,如果雪盖较多,积雪时间过长也会抑制植被的返青[19]。Harpold等[20]研究表明,在不同地区,积雪对植被产生的影响不同。在寒冷地区,积雪终日对植被返青的积极作用随着温度的升高而减弱,而在温暖地区相反。随着全球气温的不断升高,积雪融化时间改变,理想情况下,当积雪开始融化时,土壤中就有足够的液态水供植物生长利用[21-22],与温度降水结合共同促进植被生长。由此可以看出,植被对于气温、降水、土壤水分、积雪均存在明显地响应[23-25]。当前针对植被返青期的多数研究都集中在探讨温度和降水对其的影响机制,而将积雪与气温、降水等结合,从而探讨植被返青期影响机制的研究还比较少,植被返青期的变化及其驱动机制仍存在较大的不确定性,因此,量化其对于积雪、气象因子以及土壤水分的敏感程度具有重要意义。
蒙古高原位于干旱与半干旱气候带,主要包括蒙古国与中国内蒙古两个部分,是全球变化最敏感的地区之一[26]。蒙古高原广泛的草地生态系统为研究植被返青期的变化规律及其影响机制提供了良好的环境。研究利用MODIS NDVI数据提取蒙古高原植被返青期信息,揭示蒙古高原春季植被返青的时空变化规律。基于相关分析、敏感度分析等方法量化植被返青期与积雪、气象因子及土壤水之间的响应关系,研究结果对蒙古高原长期生态保护具有重要指示作用, 可为了解蒙古高原春季植被返青的影响机制和应对气候变化对环境的影响提供建议和对策。
2 研究区概况
蒙古高原地处亚欧大陆中部,地理位置处于37°46~53°20′N,87°43~126°04′E,主要包括蒙古国全境和中国内蒙古自治区。蒙古高原地势西高东低,平均海拔1 580 m(图1(a))。其北部以杭爱山和肯特山为主体,西部蒙古阿尔泰山延伸至高原内部,南端以贺兰山和阴山为界,东部以大兴安岭为界。蒙古高原位于干旱、半干旱气候区,属温带大陆性气候,冬季寒冷干燥,夏季高温多雨,最低气温达-45 ℃,最高气温可达30~35 ℃。除蒙古国北部和内蒙古东北部地区以外,蒙古高原绝大多数地区的年降水量少于400 mm[27],年平均降水量约为200 mm。蒙古高原从东北到西南依次分布着森林、草原和沙漠等植被类型。草地作为蒙古高原典型的自然植被群落,可分为草甸草原、典型草原、荒漠草原等[28],实验所选蒙古高原植被类型分布如图1(b)所示。
图1
图1
蒙古高原高程图及土地覆盖类型图
审图号:GS(2021)5443
Fig. 1
Elevation map of Mongolian Plateau and land cover type
3 数据与方法
3.1 数据与预处理
为计算蒙古高原长时序植被返青期,选用2001~2018年MODIS NDVI产品数据,时空分辨率分别为16 d和500 m,并将NDVI<0.08的区域做掩膜处理,认作无植被区[29]。
选用美国国家冰雪数据中心提供的空间分辨率为500 m的每日积雪产品MOD10A1来提取积雪物候参数,时间范围为2000~2017年(https:∥nsidc.org/data/mod10a1/versions/6)。该数据在晴天时总精度可达98.5%,积雪分类精度可达98.2%[30]。
温度、降水以及土壤水数据来源于欧洲中期天气预报中心提供的ERA5全球气候再分析数据集。该数据集在干旱、半干旱地区精度较高且具有良好的应用基础[31],分辨率为0.1°×0.1°。通过ArcGIS软件中创建NetCDF栅格图层工具将以上数据由NC格式转换为Geo-Tiff格式,使用按掩膜提取工具对所需研究区域内数据进行裁剪。并通过平均值法得到温度、土壤水所需月数据,通过累加法得到降水所需月数据。实验选取每年3月至5月温度数据作为融雪期温度(TEMP),每年9月至翌年4月降水作为积雪期降水(PRE),每年3月至5月表层土壤水定义为春季表层土壤水(SM)进行研究。
3.2 研究方法
3.2.1 植被返青期提取
采用累计NDVI的Logistic曲线曲率极值法[5]逐像元计算蒙古高原植被返青期(Start of Growing Season,SOS)参数。该方法首先对NDVI的变化曲线进行模拟,公式如下:
其中:y(t)为儒略日t对应的Logistic拟合的累计NDVI值;a、b是逻辑模型的拟合参数;d是日NDVI最小的NDVI值;c+d是累计NDVI的最大值。
其次计算累计NDVI的Logisitc拟合曲线曲率公式如下:
其中:z=et+bt,当K达到它的第一个最大值时,对应的儒略日t为SOS。
3.2.2 积雪参数提取
根据蒙古高原实际情况,将蒙古高原积雪期定义为9月至次年4月(例如:2000年9月1日~2001年4月30日为2000年的积雪季节,以此类推)[29]。实验所选用的积雪参数有:积雪覆盖度(SCF)、积雪日期(SCD)、积雪初日(SCOD)以及积雪终日(SCED),各参数具体定义如下:
3.2.3 趋势分析法
为了分析蒙古高原植被返青期和积雪参数以及气温、降水、土壤水等要素的变化趋势,实验选择一元线性回归进行计算[35]。回归方程斜率(Slope)用来表示研究区内不同要素的变化趋势,具体计算公式如下:
其中:Slope表示变化趋势的斜率;n表示研究时间序列的累积年数;Xi表示第i年的值。通过Slope及F检验计算显著性P值,将不同要素变化趋势分为4类:显著增加(Slope>0,P<0.05)、不显著增加(Slope>0,P>0.05)、显著减少(Slope<0,P<0.05)以及不显著减少(Slope<0,P>0.05)。
3.2.4 相关分析法
为进一步分析各要素对蒙古高原SOS变化产生的影响,在SOS与各因子之间进行相关分析,具体公式如下:
其中:Rxy为变量x、y的相关系数,在此分别对应于各影响因子和SOS;
3.2.5 敏感性分析法
敏感性分析方法通过计算一个或者多个不确定性因素的变化所导致的变化幅度,分析评估每个自变量对因变量的影响程度。
其中:
4 结果与分析
4.1 植被返青期空间分布特征
图2显示了2001~2018年蒙古高原多年平均植被返青期的空间分布特征。总体上,80%以上的植被区SOS集中在110~140 d左右。SOS发生在90~100 d和150 d的面积占比分别为7.14%和10.13%,仅有2.52%的地区SOS发生在90 d前或150 d后。从空间分布来看,蒙古高原SOS分布具有很强的地域性,整体呈现出由南向北推迟的分布特点,西北部阿尔泰山、萨彦岭、杭爱山等高海拔地区SOS较晚,主要集中在130~150 d;中部以及东部大范围地区SOS发生在110~130 d;南部河套平原地区由于人类活动影响较大,导致SOS发生较晚,多集中在130~150 d。不同植被类型SOS存在差异,荒漠草原SOS整体开始时间最早(90~120 d),针叶林地区西北部的萨彦岭及其南侧地区SOS出现最晚(>150 d)。其余植被类型区域SOS集中出现在110~150 d。
图2
图2
蒙古高原2001~2018年多年平均返青期的空间分布 审图号:GS(2021)5443
Fig. 2
Spatial distribution of annual mean greening period in the Mongolian Plateau from 2001 to 2018
4.2 植被返青期时空变化特征
图3
图3
蒙古高原植被返青期变化趋势及显著性分布
审图号:GS(2021)5443
Fig.3
Variation trend and significance distribution of vegetation greening period in Mongolian Plateau
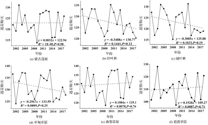
整体上,蒙古高原SOS体现出先提前后推迟的趋势,变化幅度相对较小。从不同植被类型来看,针叶林、阔叶林以及草甸草原SOS均呈较为显著的提前趋势,速率分别为-0.35 d/a、-0.31 d/a以及-0.26 d/a。而典型草原和荒漠草原SOS呈弱推迟趋势,速率分别为0.11 d/a和0.15 d/a。此外,除针叶林和草甸草原外,其余植被类型SOS最早均出现在2009年(图4)。
图4
图4
蒙古高原2001~2018年不同区域内植被返青期年际变化
Fig.4
Inter-annual variation of vegetation reforestation period in different regions of the Mongolian Plateau from 2001 to 2018
4.3 气候、积雪、土壤水影响因素与植被返青期的关系
4.3.1 气候、积雪、土壤水影响因素时空变化趋势分析
积雪期降水(PRE)、融雪期温度(TEMP)、春季表层土壤水(SM)、积雪覆盖度(SCF)、积雪日数(SCD)、积雪初日(SCOD)以及积雪终日(SCED)的时空变化趋势如图5所示。PRE呈上升趋势的面积占比为50.51%,主要分布在西北部和东部;东北部和南部地区主要呈减少趋势(49.49%)。与全球变暖的趋势吻合,蒙古高原大部分地区TEMP呈上升趋势(99.96%),且变化速率整体由西向东递减。其中,在中部、西北部以及北部地区上升趋势最为显著,在东部小范围地区呈下降趋势(图5(b))。SM的空间变化趋势表明,春季表层土壤水含量在过去18 a间呈下降趋势的面积占比为76.13%(图5(c)),主要分布在北部、西北部和东南部;西北部小范围地区、萨彦岭以及东部地区主要呈现增加趋势(23.86%)。
图5
图5
蒙古高原2001~2018年气候、积雪、土壤水因子变化趋势
Fig.5
Trends of climate, snow cover and soil water factors in the Mongolian Plateau from 2001 to 2018
在整个研究区内,所有积雪参数整体均呈下降趋势。SCF变化率介于-1.52%/a~3.5%/a,减少趋势占研究区总面积61.37%,主要分布在北部、南部和西南部,这与李晨昊等[34]研究结论基本一致。从图5(e)可以看出,SCD以-0.17 d/a的速率呈现出与SCF相似的空间格局,二者均表现出随着海拔的升高速率变大的趋势。SCOD呈现出北部推迟南部提前的分布,下降趋势占研究区总面积的69.34%而上升趋势仅占30.66%(图5(f)),推迟的区域主要在北部、东部和中部。SCED以-0.78 d/a的速率表现出提前的态势,下降趋势占研究区总面积的64.75%,上升趋势占35.25%。蒙古高原的西北部、中部和东南部地区表现提前的趋势,除上述地区外大部分区域表现为推迟趋势。此外,依据图5(a)可以看出,尽管积雪覆盖度在年际变化上呈现出减少的趋势,但积雪期降水在18 a间仍以缓慢的变化表现出增多的趋势。
4.3.2 气候、积雪、土壤水影响因素与植被返青期相关性分析
蒙古高原79.20%区域SOS与PRE表现为正相关关系,其中显著正相关的区域主要分布在蒙古高原西北部、东北部以及科尔沁草原区(图6(a))。温度的升高必然会导致SOS的提前,使得81.44%的地区SOS与TEMP呈负相关,主要分布在西部、东部以及北部,而在南部小范围内呈正相关(图6(b))。由图6(c)可知,SOS与SM呈现正相关的区域分布在中部、北部、西北部以及东部地区(69.69%),呈现负相关的区域分布在萨彦岭的西侧、肯特山以及蒙古高原南部地区(30.31%)。除大兴安岭西侧、杭爱山北部以及蒙古高原南部零星分布区域外,有91.73%的区域SOS与SCF表现为正相关关系,说明SCF对SOS的影响显著。SCD的缩短对SOS产生促进作用,二者相关性体现出由西南向东北递增的趋势,有91.60%的地区表现为正相关(图6(e))。在整个研究区内共有67.35%的地区SOS与SCOD表现为正相关,说明SCOD的提前对SOS有一定的积极效应,但表现不是很显著(图6(f))。积雪融化时间越早,会给植被返青所需的温度提供较好的条件,图6(g)表明大部分地区SOS与SCED呈现出正相关(82.41%),较为显著的区域主要分布在蒙古高原西北部、北部以及东北部地区。
图6
图6
蒙古高原2001~2018年植被返青期与气候、积雪、土壤水因子相关性空间分布
Fig.6
Spatial distribution of correlation between vegetation reforestation period and climate, snow cover and soil water in Mongolian Plateau from 2001 to 2018
图7分析了不同植被类型SOS与各驱动因子的相关性。可以看出,除TEMP表现出明显的负相关和SCOD表现的正负比例相似外,其余因子均与SOS表现为大面积的正相关(>70%)。在阔叶林地区表现出的相关性最显著,最大可达71.26%。植被SOS与PRE、SM的相关性没有TEMP明显,其中针叶林、阔叶林、草甸草原中SOS与TEMP呈显著负相关的区域均超过50%。在积雪参数中,SCF、SCD和SCED与植被SOS的正相关关系最为显著,随着植被类型的改变表现出从东北到西南依次降低的趋势。其中,在阔叶林中SCF(71.26%)和SCED(57.06%)与SOS呈显著正相关关系,在典型草原中SCD与SOS正相关关系最为显著(77.24%)。此外,在荒漠草原地区SOS与各驱动因子的相关性均达到最低。
图7
图7
蒙古高原2001~2018年植被返青期与气候、积雪、土壤水因子相关性面积占比
(图7中 以0为界分别表示正负相关像元占总像元的百分比,黑色部分表示通过显著性检验,P<0.05的像元百分比)
Fig.7
Proportion of areas related to climate, snow cover and soil water factors in the Mongolian Plateau from 2001 to 2018
4.4 植被返青期对关键影响因素的敏感性评价
为进一步量化不同驱动因素对SOS的影响,根据不同影响因子与植被返青期相关性的空间分布,选择4个影响最为显著的因子进行详尽分析。表1是蒙古高原SOS与所选因子在2001~2018年间逐年的敏感度评价指数。所选的影响因子敏感性排序为:|SenSCF|(0.467)>|SenSCD|(0.184)>|SenTEMP|(0.113)>|SenSCED|(0.028)。
表1 蒙古高原2001~2018年SOS与SCF、SCD、SCED和TEMP的逐年敏感度评价
Table 1
| 年份 | SCF | SCD | SCED | TEMP |
|---|---|---|---|---|
| 平均 | 0.467 | 0.184 | 0.028 | 0.113 |
| 2001 | 0.477 | 0.196 | -0.041 | -0.122 |
| 2002 | 0.372 | 0.138 | 0.001 | -0.183 |
| 2003 | 0.694 | -0.176 | -0.046 | -0.211 |
| 2004 | 0.093 | 0.063 | -0.005 | -0.016 |
| 2005 | 0.427 | 0.138 | -0.048 | -0.200 |
| 2006 | 0.306 | 0.377 | -0.038 | -0.026 |
| 2007 | 0.314 | 0.323 | -0.047 | -0.062 |
| 2008 | 0.34 | 0.157 | -0.044 | -0.032 |
| 2009 | 0.554 | 0.148 | 0.039 | -0.088 |
| 2010 | 0.398 | 0.162 | -0.011 | -0.286 |
| 2011 | 0.377 | 0.251 | 0.007 | -0.100 |
| 2012 | 0.550 | 0.16 | -0.02 | 0.025 |
| 2013 | 0.458 | 0.195 | -0.029 | -0.165 |
| 2014 | 0.582 | 0.011 | 0.026 | -0.165 |
| 2015 | 0.469 | 0.187 | 0.005 | -0.056 |
| 2016 | 0.663 | -0.063 | -0.037 | -0.074 |
| 2017 | 0.481 | 0.357 | 0.052 | 0.074 |
| 2018 | 0.855 | -0.216 | -0.015 | 0.151 |
根据SOS对SCF的敏感性指数可以看出,研究时段内SOS对SCF的敏感性总体持续增加,2018年达到峰值(0.855),2004年敏感性最低为0.093。SOS对SCD的敏感程度趋于稳定,敏感性介于0.011~0.377之间,在2006年达到最高,2014年最低。表1中显示SOS对SCED的敏感性呈下降趋势,这可能与部分区域内气温偏低导致积雪冻结时间过长有关[37]。TEMP对SOS的敏感度在2010年表现最为显著,敏感性达到最高(0.286),这是因为2010年前后蒙古高原气温发生大幅度变化[38],甚至出现了极端高温天气,温度大幅度上升促进积雪的融化,进而促进植被返青。近年来随着年均温的不断升高,融雪期的温度也在相应发生改变,在各因子的综合作用下,蒙古高原积雪覆盖比例逐年降低、积雪日期缩短以及积雪终日提前均会导致SOS提前。另外,在所选的3个积雪参数中,SCF和SCD对SOS的贡献大于SCED,说明SCF是影响SOS变化的主要因素。这是由于积雪覆盖时会将地表植被与空气隔离,对植被起到一定的增温作用,在积雪开始融化时,融雪是植物的重要水源,给植被返青带来了良好的生长条件[14]
将不同植被类型SOS对SCF、SCD、SCED和TEMP的敏感性进行对比,结果如图8所示。阔叶林SOS对SCF最敏感(1.164),而荒漠草原SOS对SCF敏感性最低(0.116)。荒漠草原SOS对SCD的敏感性最高(0.655),典型草原SOS对其敏感性较弱(0.339)。总体上,SOS对TEMP 平均敏感性为0.146,在针叶林地区达到最高(0.279),在阔叶林地区最低(0.029)。SOS与SCED之间的敏感程度介于0.024~0.084之间,最低出现在针叶林地区。上述结果可归因于:内蒙古东北部的阔叶林、针叶林地区水分条件好,植被抗寒能力强,SOS受积雪的储存、融雪时间以及气候变暖的影响较大。而荒漠草原地区较为干旱且对于气候变化异常敏感,在缺乏降水的情况下,冬季积雪有利于植物的生长,气温连同积雪存在的时间共同为植被返青提供了有利条件。根据上述结果结合表2进一步分析可知。融雪对植被物候的影响是由融雪过程中土壤含水量变化的协同效应所解释的。因此,积雪参数与土壤水的相关性最高,融雪期温度虽与其有较好的一致性,但仍弱于土壤水和积雪期降水。积雪的减少会使融雪期温度回升,而融雪期温度的升高会反过来影响积雪的减少。积雪覆盖的增加可以有效减少土壤内能量的流失,从而对土壤起到“保温”作用,故积雪参数与土壤水分表现出显著的正相关。积雪日期的缩短影响积雪融化时间提前,融化后的水分使土壤的养分和水分进行有效性增加,促进根系活动,对春季植被代谢活动提供强大的动力。综上,结合积雪的变化特征及对气候因子的响应可以看出,由于积雪和气候反馈导致的环境变化会引起植被返青期发生变化,植被返青期在多种因素的协同作用下会出现提前或推迟的趋势。
图8
图8
蒙古高原不同植被类型敏感度变化
Fig.8
Sensitivity changes of different vegetation types on the Mongolian Plateau
表2 积雪物候与气象因子在时间上的相关性
Table 2
| 积雪参数 | SCF | SCD | SCOD | SCED |
|---|---|---|---|---|
| SM | 0.55* | 0.56* | 0.63** | 0.55* |
| PRE | 0.51* | 0.57* | 0.54* | 0.51* |
| TEMP | -0.45 | -0.41 | -0.30 | -0.37 |
5 讨 论
从蒙古高原SOS变化趋势看,SOS在过去18 a间表现为先提前后推迟的趋势,这与邵亚婷[7]对蒙古国植被物候的研究结果一致。2017~2018年研究区内出现了干旱、低温冻害等气象灾害且冬季温度偏低,严重影响了牧草生长,这可能是SOS推迟的主要原因。从蒙古高原SOS时空格局看,过去18 a间SOS的空间分布与其植被类型和温度格局较为一致[39],在西北部的高海拔地区和温度较低的东部地区SOS较晚,而在温度较高的荒漠草原地区和较为湿润的东北部地区SOS较早。西北部的高山地区海拔高温度低,水分相对匮乏,植被类型以草原为主,受温度影响较大;而东北部的阔叶林以及针叶林地区,水分条件充实且耐寒能力强[40],荒漠地区地表反射率较强,下垫面吸收的能量较多[25]。另外,气候变暖可能也会使温度相对较低的地区SOS呈提前趋势,这是SOS产生差异的主要原因。
通过分析不同因子的关系可以得到,积雪参数(SCF、SCD、SCED)和气象因子(TEMP)是影响蒙古高原SOS的主要因素。已有研究表明,积雪与气象因子之间存在很强的相关性。温度可以通过改变降水、土壤水、积雪等间接影响植被变化趋势。赵琴等[24]认为积雪是气温和降水的综合产物,积雪与植被物候之间的关系通常会向其与温度和降水之间转变。在气温不断升高的过程中,由于早春积雪的保温作用,植被根系的生长和呼吸作用可以维持正常,同时会促进植物进行光合作用抑制CO2的扩散[22]。研究结果表明积雪与气象因子之间紧密相关,雪盖的减少会使得融雪期温度显著升高,而融雪期温度又反过来加速了积雪的融化,使得积雪终日提前,这种温度与积雪之间的反馈作用会对SOS产生深刻的影响,这与Zheng[21]的研究结果大体相同。此外,积雪参数与土壤水分存在较强的相关性,积雪的保温作用对土壤温度和湿度的变化具有重要的影响。在冬季,雪的绝缘作用可以显著影响土壤温度,而积雪融化后产生的大量水分同样能够改变土壤中的含水量,进而影响植被生长[22]。另有研究表明,在积雪覆盖下,早春土壤温度高于气温,由于雪的绝缘特性,温度不再对植被具有直接影响。另外,由于本文所选的是积雪时段的降水,所以降水的增加将直接影响积雪参数发生改变,一定程度上大于温度对其的影响,冬季降水驱动生长季土壤水,所以积雪期降水对植被的影响程度较大。
在未来气候持续变暖的背景下,积雪参数对气温的敏感性会进一步加大。积雪的储存和消融不仅会受到气温、降水和土壤湿度的影响,风速光照等其他因素也可能对其产生影响,进而影响植被物候发生改变。在未来对植被物候的研究中,应多方面分析因子间的相互关系,通过研究各因素之间相互作用从而探讨影响植被物候的有关机制 。
6 结 论
(1)2001~2018年蒙古高原SOS主要集中在110~140 d,呈从南到北逐渐推迟的分布特征。SOS总体以0.03 d/10 a呈现不显著推迟趋势。其中,针叶林、阔叶林以及草甸草原SOS呈现出显著提前趋势,典型草原与荒漠草原SOS呈现出轻微推迟趋势。
(2)除积雪期降水(0.05 mm/a)和融雪期温度(0.09 ℃/a)呈现出增加的趋势以外,SM以0.06 m3m-3/10 a的速率减少、SCF每年减少0.12%、SCD每年缩短0.17 d、积雪初日和积雪终日每年分别提前2.02 d和0.78 d。
(3)蒙古高原SOS受多种因素共同控制。积雪覆盖度SCF(0.467)对SOS影响最大,其次分别为积雪日期SCD(0.184)、融雪期温度TEMP(0.113)和积雪终日SCED(0.028)。
参考文献
Vegetation phenology changes along an urban-rural gradient in Northeast China based on remote sensing
[J].
基于遥感的东北植被物候沿城乡梯度变化
[J].
Changes in satellite-derived spring vegetation green-up date and its linkage to climate in China from 1982 to 2010: A multimethod analysis
[J].
Vegetation phenology change in Tibetan Plateau from 1982 to 2013 and its related meteorological factors
[J].
Delayed autumn phenology in the Northern Hemisphere is related to change in both climate and spring phenology
[J].
Spatio-temporal dynamics of vegetation phenology in the Mongolian Plateau during 1982~2011
[J].
1982~2011年蒙古高原植被物候时空动态变化
[J].
Vegetation phenology and its driving mechanism in the Northern Hemisphere based on multiple remote sensing variables under climate change
[D].
气候变化背景下基于多遥感指数的北半球植被物候及其驱动机制研究
[D].
The phenological characteristics of Mongolian vegetation and its response to geographical elements
[J].
蒙古国植被物候特征及其对地理要素的响应
[J].
Variation characteristics of returning green stage of natural forage in alpine grassland and its relationship with meteorological factors in Three-river Headwater Region
[J].
三江源区高寒草原天然牧草返青期变化特征及其与气象因子的关系
[J].
Increasing altitudinal gradient of spring vegetation phenology during the last decade on the Qinghai-Tibetan Plateau
[J].
Winter and spring warming result in delayed spring phenology on the Tibetan Plateau
[J].
Phenology shifts at start vs. end of growing season in temperate vegetation over the Northern Hemisphere for the period 1982-2008
[J].
Plant phenology changes and drivers on the Qinghai-Tibetan Plateau
[J].
Precipitation impacts on vegetation spring phenology on the Tibetan Plateau
[J].
Spatiotemporal variation in snow cover and its effects on grassland phenology on the Mongolian Plateau
[J].
Disentangling the mechanisms behind winter snow impact on vegetation activity in northern ecosystems
[J].
Deeper snow enhances winter respiration from both plant-associated and bulk soil carbon pools in Birch Hummock Tundra
[J].
Influence of snowfall on soil temperature and moisture in source region of the Yellow River during different freezing and thawing stages
[J].
黄河源区降雪对不同冻融阶段土壤温湿变化的影响
[J].
Chan-ge in snow phenology and its potential feedback to temperature in the Northern Hemisphere over the last three decades
[J].
Relative influence of timing and accumulation of snow on alpine land surface phenology
[J].
Sensitivity of soil water availability to changing snowmelt timing in the western US
[J].
Earlier snowmelt predominates advanced spring vegetation greenup in Alaska
[J].
Spatiotemporal change of snow depth in the mongolian plateau and its response to climate change
[J].
蒙古高原雪深时空变化及其对气候变化的响应
[J].
The relationship between the temporal and spatial changes of snow cover and climate and vegetation in Northern Xinjiang from 1980 to 2019
[J].
1980~2019年北疆积雪时空变化与气候和植被的关系
[J].
Spatiotemporal variation of soil moisture and its effect on grassland vegetation phenology in the Mongolian Plateau
[D].
蒙古高原土壤水分时空变化及其对草地植被物候的影响
[D].
Extreme temperature and drought events in four different grassland areas of Inner Mongoliain in recent 60 years
[J].
近60 a内蒙古不同草原类型区极端气温和干旱事件特征分析
[J].
Response of vegetation phenology to soil moisture dynamics in the Mongolian Plateau
[J].
Spatial-temporal changes of vegetation cover in Mongolian Plateau during 1982—2006
[J].
1982—2006年蒙古高原植被覆盖时空变化分析
[J].
Study on the variation of snow cover and its impact on grassland vegetation phenology in Mongolia Plateau
[D].
蒙古高原积雪变化及对草地植被物候影响的研究
[D].
Accuracy analysis for MODIS snow data of MOD10A1 in a pastoral area in Northern Xinjiang
[J].
新疆北部地区 MODIS 积雪遥感数据 MOD10A1 的精度分析
[J].
Temporal and spatial change monitoring of drought grade based on ERA5 analysis data and BFAST method in the belt and road area during 1989-2017
[J].
The spatial and temporal changes of snow cover in Inner Mongolia and their responses to climate
[J].
内蒙古积雪面积时空变化及其对气候响应
[J].
Monitoring the spatial distribution and changes in permafrost with passive microwave remote sensing
[J].
Spatiotemporal changes of snow cover and its response to climate changes in the Mongolian Plateau from 2000 to 2017
[J].
2000~2017年蒙古高原积雪时空变化及其对气候响应研究
[J].
The responses of NDVI-based vegetation during growing season to climate factors in the Yellow River Source Region
[D].
基于 NDVI 的黄河源区生长季植被对气候因子的响应
[D].
Vegetation green‐up date is more sensitive to permafrost degradation than climate change in sp-ring across the northern permafrost region
[J].
Ten Extreme Meteorological Events in 2002 in China
[J].
2002年我国十大极端气候事件
[J].
Changes of extreme climate and its effect on net primary productivity in Inner Mongolia
[J].
内蒙古地区极端气候变化及其对植被净初级生产力的影响
[J].
NDVI-based long-term vegetation dynamics and its response to climatic change in the Mongolian Plateau
[J].
Response of vegetation dynamics to hydrothermal conditions on the Qinghai-Tibet Plateau in the last 40 years
[J].
近40年青藏高原植被动态变化对水热条件的响应
[J].
Variations in spring phenology of different vegetation types in the Mongolian Plateau and its responses to climate change during 2001-2017
[J].
/
| 〈 |
|
〉 |

